Чем залить систему отопления в частном доме. Вода или антифриз — в чем разница?
- Чем залить систему отопления в частном доме. Вода или антифриз — в чем разница?
- Антифриз или вода в системе отопления. Теплоноситель — антифриз
- Что лучше заливать в систему отопления в частном доме. Что такое теплоноситель и какие бывают виды
- Можно ли заливать автомобильный антифриз в систему отопления. Антифриз: виды, особенности
- Что залить в систему отопления, чтобы не замерзла. Как предотвратить замерзание дома
- Что залить в систему отопления вместо воды. Что залить в систему отопления, чтоб она не замерзла
- Антифриз для отопления частного дома. Вода или антифриз?
Чем залить систему отопления в частном доме. Вода или антифриз — в чем разница?
В водяном контуре отопления чаще всего используют воду. Это недорогой и достаточно эффективный способ обогрева жилья. Тем не менее, прежде чем залить жидкость в систему отопления, вода должна соответствовать определенным требованиям (содержание кислорода не должно превышать отметки 0,05 мг/м3, уровень кислотности и жесткости должен находится в рекомендуемых диапазонах и т.д.). Некачественная вода может стать причиной образования:
- воздушных пробок в радиаторах и трубах;
- коррозии внутренних металлических элементов системы;
- накипи на внутренних стенках радиаторов, труб, на теплообменнике котла, что значительно снижает теплоотдачу и КПД отопительных приборов.
Со сложностями могут столкнуться владельцы частных домов или дач непостоянного проживания. В моменты простоя системы отопления в зимний период вода в контуре может замерзнуть и привести к поломке всех отопительных агрегатов. В таких случаях использование незамерзающей жидкости в качестве теплоносителя просто обязательно.
Чтобы избежать непредвиденных повреждений и выхода из строя котла, трубопровода или радиатора, используют дистиллированную воду или добавляют в жидкость антифриз.
Использование «незамерзайки» в отличие от простой воды имеет свои преимущества:
- Защита от накипи. Незамерзающие жидкости не содержат примеси, которые способствуют образованию накипи в теплообменнике.
- Защита от коррозии. Специальные присадки, которые добавляются в теплоноситель, предотвращают химические разрушения металла.
- Защита кранов и запорной арматуры от закисания. Гликоль в составе жидкости выполняет функцию смазки для клапанов и вентилей отопительного контура.
- Высокая точка кипения предотвращает образование воздушных пробок в радиаторах и трубах.
- Антифриз не замерзает даже при низких температурах.
Антифриз или вода в системе отопления. Теплоноситель — антифриз
Незамерзайка, залитая в отопительный контур, позволяет полностью решить угрозу промерзания системы в холодный сезон — низкие температуры, на которые рассчитан данный антифриз, не изменяют его физического состояния. Антифризы способны обеспечить транспортировку тепловой энергии внутри отопительной системы, не вызывают коррозионных процессов и отложений накипи.
Основное качество антифризов выражается в том, что они не твердеют до определённых предельно-низких температур, в случае отверждения — не расширяются подобно воде и не разрушают элементы отопительной системы, а превращаются в гелеобразную массу, объём которой не меняется. Другими словами, если температура замёрзшего антифриза будет повышена, то он вернётся из гелеобразного в жидкое состояние без каких-либо последствий для отопительного контура.

В состав антифризов производители вводят дополнительные присадки с целью увеличения срока службы отопительной системы — ингибиторы коррозии и минеральных отложений, устраняющие коррозионные очаги и накипь в системах, эксплуатируемых долгие годы. При выборе антифриза следует учитывать, что его состав не универсален — содержащиеся в нём присадки рассчитаны на определённые конструкционные материалы и сплавы, неверный выбор вызовет электрохимическую коррозию или, к примеру, разрушение полимерных материалов, использованных при построении отопительной системы.
Как правило, выпускаются антифризы, рассчитанные на две предельно низкие температуры — до -65 и до -30 °С. При необходимости можно изменить концентрацию насыщенного состава до желаемого, из пропорции одна часть дистиллированной воды на две части антифриза (к примеру, если литр антифриза первого типа, рассчитанного на более низкую температуру, разбавить 0,5 л воды, то такой состав будет работать до -30 °С).

Химический состав антифризов рассчитан на 10 сезонов отопления или 5 лет эксплуатации, по прошествии которых весь объём незамерзайки нужно заменить.
По сравнению с водой, антифризы имеют не только достоинства, но и недостатки:
- теплоёмкость незамерзаек на 15% ниже, т. е. тепло они отдают хуже;
- их вязкость как минимум вдвое выше, что требует введения в систему отопления мощных циркуляционных насосов;
- более высокое объёмное расширение при нагреве, необходим экспанзомат (расширительный бак закрытого типа) и отопительные радиаторы, ёмкость которых на 50-60% больше, чем у их аналогов, используемых в системах с водяным теплоносителем;
- текучесть выше чем у воды на 50%, т. е. разъёмные соединения в системе с антифризом нужно герметизировать с большой тщательностью;
- антифризы на основе этиленгликоля токсичны для человека, поэтому такую незамерзайку можно использовать лишь в одноконтурных котлах.
Для бытовых нужд, т. е. для систем отопления частных домов, производятся антифризы на основе полиолов двух видов — этиленгликоля (моноэтиленгликоля) и пропиленгликоля. Составы на основе первого вида полиолов более распространены и стоят дешевле, чем основанные на дорогом пропиленгликоле, однако они весьма ядовиты — при проникновении в организм 350 мг этиленгликоля достаточно, чтобы нанести серьёзный вред здоровью и даже стать причиной летального исхода. Работа с антифризами, содержащими этиленгликоль, требует обязательной защиты кожи, органов дыхания и зрения.

Во время эксплуатации антифризы на основе этиленгликоля особенно чувствительно относятся к перегреву — при любом, даже кратковременном подъёме температуры выше предела, установленного производителем для данной марки незамерзайки, происходит термическое разложение полиола и присадок в составе антифриза, образуются нерастворимый осадок и кислоты. Осадок, в случае его попадания на поверхности нагревательных элементов, образует нагар, ухудшающий теплообмен на местном уровне и вызывающий перегрев с повторным образованием осадка и т. д. Образованные в результате разложения этиленгликоля кислоты вступают в химическую реакцию с конструкционными металлами системы отопления, вызывая множественные очаги коррозии. В результате разложения присадок резко снижаются защитные свойства теплоносителя, ранее обеспечиваемые им для материала уплотнителей разъёмных соединений, а при высокой текучести это немедленно вызовет течь. Кроме того, перегрев повышает пенообразование антифриза, что, в свою очередь, вовлечёт в систему отопления воздух. По описанным причинам требуется тщательно контролировать температуру нагрева котлов и отопительной системы, однако не все модели котлов это допускают.
Что лучше заливать в систему отопления в частном доме. Что такое теплоноситель и какие бывают виды
Теплоносителем называют жидкое или газообразное вещество, предназначенное для передачи тепловой энергии, в индивидуальной отопительной системе дома используется только жидкое рабочее тело.
В домашнюю систему отопления заливаются следующие виды теплоносителей:
- Вода.Самый доступный и универсальный теплоноситель, не требующий финансовых затрат на его приобретение и используемый в большинстве систем отопления, обладает наибольшей теплоемкостью среди жидких веществ. Антифризы.Для передачи тепловой энергии используются два вида антифризов — этиленгликоль и пропиленгликоль. Они имеют низкую температуру кристаллизации и разводятся с водой в определенном соотношении — это позволяет изменять точку замерзания жидкости. Смеси антифризов.Наиболее популярные антифризы этиленгликоль и пропиленгликоль обладают разными химическими и физическими свойствами. Некоторые производители добавляют в их состав гликоли для получения жидкостей, сочетающий в себе преимущества двух компонентов. Автомобильные антифризы.Этиленгликоль является одним из основных компонентов автомобильных охлаждающих жидкостей, поэтому можно использовать общеизвестный Тосол для отопления дома. В его марках цифры 40 (голубой цвет) и 65 (красный цвет) означают температуру замерзания.
При эксплуатации раствор тосола меняет цвет на сине-зеленый, затем зеленый, желтый и в конце обесцвечивается (точнее становится грязно-коричневым из-за отложений ржавчины). Это говорит о снижении ее эксплуатационных качеств и необходимости замены. Нормальной рабочей температурой эксплуатации Тосола считается показатель до 95º С, при превышении этого порога срок службы жидкости резко падает.
Можно ли заливать автомобильный антифриз в систему отопления. Антифриз: виды, особенности
Антифриз имеет ряд ограничений, главные из которых – старение и то, что химический состав со временем теряет качества. Его нужно периодически менять. При возникновении утечек требуется подпитка теплоносителем, но только тем составом, который есть. Концентрация не должна отличаться от уже залитого антифриза.
Условия, которые влияют на выбор теплоносителя:
1. Риск разморозки.
2. Теплоемкость у антифриза меньше теплоемкости воды на 20%. То есть после сгорания топлива в котле литр воды может принять тепла на 20% больше, чем антифриз. Если вместо воды залить антифриз, то нужно быть уверенным, что диаметр трубы подойдет для него.
3. Гарантия на котел. Некоторые бренды категорически против использования в котлах антифризов. Гарантия отменяется, хотя это только повод отказаться от гарантийных обязательств.
4. Тепловое расширение. Незамерзайка расширяется при нагреве гораздо больше, чем вода. Из-за линейного расширения расширительный бак котла может не справиться с увеличением в объеме горячего теплоносителя и, чтобы предотвратить выброс, сработает предохранительный клапан. Надо устанавливать либо более мощный, либо дополнительный расширитель.
5. Требования к составу. Для защиты труб, для предупреждения возникновения химической реакции применяются присадки, но качество присадок проверяется только после заполнения. Дешевый теплоноситель – это риск возникновения протечек.
6. Необходимость замены. Срок службы незамерзающей жидкости 5 лет, по прошествии срока присадки перестанут работать, среда с антифризом станет агрессивной. Перед заменой нужна промывка системы.
7. Требования к герметичности. Антифриз найдет себе дорогу для течи там, где вода не протечет. Это надо учмтывать, когда имеются скрытые замоноличенные коммутации.
8. Стоимость. Производители котлов советуют дорогие специализированные антифризы.
Если дом может функционировать без риска получить размороженное отопление – нет лучшего теплоносителя, чем вода.
Однако, когда без антифриза не обойтись, то встает выбор между его разновидностями. Существует две основных категории, на основе которых можно гарантированно использовать антифризы без опасности нанести вред отоплению:
1. Этиленгликоль
2. Пропиленгликоль
этиленгликоль
ядовитое вещество, относится к 3 классу риска. применяется в закрытом контуре отопления, когда нет опасности получить утечку. пары этиленгликоля безвредны для человека.Теплоотдача этилена выше, чем у пропиленгликоля.
Стоимость этиленгликоля зависит от емкости, в которой он продается и температуры эксплуатации. Его поставляют в канистрах. Температура загустения -60оС, для сравнения пропиленгликоль замерзает при -30оС. При равной начальной стоимости той и другой канистры цена на этиленгликоль в два раза дешевле и в этом вопросе он выигрывает. При замене теплоносителя помните, что он токсичен и его не нужно выливать на землю, в траву. Для утилизации обратитесь в специальную службу.
Пропиленгликоль
Теплоноситель не замерзает до –30 °С. Является экологически безопасным. Не токсичен.
Не вызывает отравления. Некоррозионно активен. Совместим со всеми металлами.
Не разъедает прокладки. Не образует накипи и способствует очистке внутренней поверхности трубопроводов. Не допускает кавитации, это когда газы в жидкости при понижении давления образуют пузырьки и микроударами постепенно разрушают металл.
Если вам посоветовали использовать глицерин, будьте готовы к сложностям настройки котла, слабой теплоотдаче и в итоге – замене теплового агента.Теплоноситель на основе продуктов магниевой соли, бишофита. Является экологически безвредным. Водный раствор на основе минерала используется с добавлением присадок. Применяется при температуре от -30С (для системы кондиционирования) и до +90С для отопления. Приближен по эксплуатационным характеристикам к воде. Хорошо набирает и долго сохраняет тепло.Что залить в систему отопления, чтобы не замерзла. Как предотвратить замерзание дома
Незамерзающий теплоноситель
Вместо воды в систему отопления можно заливать антифриз. Он не замерзает при низких температурах и обладает хорошей теплопроводностью.

Почему же антифризы не используются повсеместно?
- Они дороги. Этиленгликоль — самый бюджетный антифриз — стоит минимум 80-90 рублей за литр при покупке в канистрах. При больших объемах (от 500 л) цена ниже — около 60 рублей. Минимальная цена теплоносителя в системе составит 30-40 тысяч рублей. При этом этиленгликоль ядовит. Его утечки из системы могут привести к серьезному отравлению. А еще этиленгликоль вступает в реакцию практически со всеми материалами, разрушая трубы, теплообменники и радиаторы. Пропиленгликоль безвреден, но еще дороже этиленгликоля. За литр этого антифриза придется заплатить от 120 рублей за литр.
- Вязкость антифризов выше. Это следует учитывать уже при проектировании системы. При заполнении антифризом трубы должны быть толще, а циркуляционные насосы и котлы — мощнее. Многие котлы отопления вообще не допускают использования антифризов. Так что система обойдется дороже.
Нельзя просто так взять и заполнить систему, спроектированную под воду, антифризом. Даже если циркуляция пойдет, эффективность такой системы будет ниже, чем планировалось.
- При замерзании дома система отопления, заполненная антифризом, уцелеет. Но остальные системы — нет, ведь в водопроводе вода никуда не денется. Поэтому лучше вообще не допускать замерзания дома.
К счастью, современные технологии позволяют обезопасить от замерзания дом с водой в системе отопления. Нужно лишь обеспечить котел бесперебойным питанием. А для 100 % защиты можно включить в систему резервный электрокотел.
ИБП для котла
Электроника газового котла потребляет относительно немного. От 15 до 200 Вт в зависимости от модели. Это намного меньше, чем большинство компьютеров, так что использование ИБП напрашивается само собой.
Во-первых, мало защитить от пропадания электричества сам котел. Если в системе отопления встанет циркуляция, она замерзнет, несмотря на работу котла. Поэтому к ИБП должны быть подключены и все циркуляционные насосы отопления. Их суммарная мощность может составлять до 1 кВт в домах с большим количеством отдельных систем теплого пола.
Во-вторых, циркуляционные насосы создают реактивную нагрузку на сеть. Их полная мощность выше номинальной. Для ее вычисления мощность насоса в Ваттах следует поделить на коэффициент мощности (cos(φ)). Для большинства циркуляционных насосов он равен 0,7.
В-третьих, у циркуляционных насосов высокие пусковые токи — в 2-4 раза выше номинальных. ИБП обычно «подхватывает» электропитание сразу после его пропадания и при нормальном его срабатывании насос не должен остановиться. Так что нагружать ИБП пусковыми токами насос не будет. Да и перегрузочная способность ИБП (1,5-3) часто перекрывает эти токи. Но все равно лучше предусмотреть запас по мощности в 10-20 %.
В-четвертых, электроника большинства котлов требует чистой синусоиды . А большинство компьютерных ИБП выдают синусоиду аппроксимированную. График выходного напряжения у них выглядит как прямоугольный зигзаг. Котел от такого напряжения работать не будет. Насос запустится, но его двигатель будет подвергаться повышенным нагрузкам. Так что для систем отопления следует брать только специализированные ИБП .
Например, пусть в системе стоит котел с потребляемой электрической мощностью в 20 Вт и один циркуляционный насос мощностью 150 Вт. Тогда потребуется ИБП для котла полной мощностью в (20+150/0,7) * 1,1 ≈ 280 ВА.
Но что со временем работы от батарей? Компьютерный ИБП поддерживает работу ПК 5-30 минут, и обычно этого достаточно. Но не для котла. Здесь нужна защита на несколько часов. Поэтому ИБП для котлов обычно имеют возможность подключения дополнительных аккумуляторов. Часто можно подключать обычные автомобильные аккумуляторы.

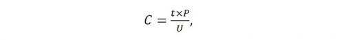
Чем больше аккумуляторов вы используете, тем дольше «протянет» система отопления без электропитания. Для примерного расчета суммарной емкости аккумуляторов можно воспользоваться формулой:

Где С — емкость аккумулятора в А∙ч, t — время необходимой работы в часах, P — полная мощность подключенного оборудования, U — напряжение аккумулятора.
Так, чтобы ИБП из предыдущего примера проработал 4 часа, нужны аккумуляторы суммарной емкостью 4*280/12 ≈ 93 А∙ч (при условии, что ИБП работает от аккумуляторов на 12 В). Если к ИБП можно подключать автомобильные аккумуляторы, то хватит двух штук емкостью 50 А∙ч.
Что залить в систему отопления вместо воды. Что залить в систему отопления, чтоб она не замерзла
Владельцы дачи, коттеджа или любого другого загородного дома интересуются вопросом, что залить в систему отопления, чтоб она не замерзала зимой. В таких зданиях пользователь может жить не постоянно, например, приезжать на выходные, поэтому разморозка труб считается актуальной проблемой.
Антифриз для отопления частного дома. Вода или антифриз?
В зимний период при аварийном отключении электроэнергии или падении давления газа в системе отопления коттеджа многие ее элементы (котел, радиаторы, расширительный бак, циркуляционный насос, трубы) за два-три дня могут быть выведены из строя замерзшей в них водой, объем которой увеличивается на 9% при переходе в лед. Если воду предварительно специально не подготовить, то дополнительно возникают условия для коррозии металла и образования накипи, ухудшающих теплоотдачу и повышающих энергозатраты. Для исключения этого явления вместо воды в качестве теплоносителя используют антифриз. Антифризом (от англ. freeze — «замерзать») называют жидкость с температурой замерзания ниже 0°С. Использовать автомобильную охлаждающую жидкость (ОЖ согласно ГОСТ 28084-89 в ред. 2007 г.), содержащуюй нитриты и амины, а также фосфатные и силикатные соединения, которые образуют вредные для человека и животных испарения, в помещении нельзя. Кроме того, срок эксплуатации ОЖ составляет всего 2–3 года, а состав присадок и их количество недостаточны для обеспечения работы систем отопления. Такая жидкость не рассчитана на разбавление водой вообще, тем более — водопроводной. С осторожностью следует относиться и к солевым водным антифризам типа «Ассол», «Буртас» и др. Они хоть и безопасны для людей, но характеризуются высокой коррозионной активностью и кристаллизацией солей при испарении воды. Система теплоснабжения довольно быстро забьется накипью, отложениями солей и ржавчиной.